blog
company news
Why Compact ADCS Solutions Are Critical for Next-Generation Satellites
Context: Expansion of the Satellite ADCS Market The global satellite attitude and orbit control system (ADCS) market is experiencing notable growth driven by increasing satellite deployments, satellite miniaturization, and demand for higher precision control...
Sanzar Joins Ineco’s Open Innovation Workshop on Dual-Use Infrastructure
At Sanzar, we believe that the future of infrastructure lies in adaptability and cutting-edge technology. We were recently honored to be invited by Ineco to participate in their latest Open Innovation Workshop, a premier event focused on the development of dual-use...
From Flight to Ground: Testing Obstacle Avoidance Where Flying Isn’t Allowed
We previously completed flight tests, today we're making public our ground test results on obstacle avoidance. What we tested We tested obstacle avoidance by driving straight towards an obstacle and reacting in real time, using a controlled, repeatable setup that...
SANZAR VSCMG Assembly Complete: Ultra-Compact ADCS Delivers 1.4 Nm Torque in Under 1U
🚀 Major milestone achieved! We've just completed the physical assembly of our Sanzar VSCMG for our Attitude Determination and Control System, and we're getting closer to seeing our system in action. What makes our VSCMG different? While current solutions delivering...
Constellation Economics: Reduce Satellite Requirements by 50% with SANZAR ADCS
Superior coverage isn't just a technical achievement, it's a business advantage. When your ADCS covers more area per pass, you need fewer satellites to achieve your mission goals. Real-World Case Study: Huvadhu Atoll Coverage Target area: 3,152 km² SANZAR ADCS: 1...
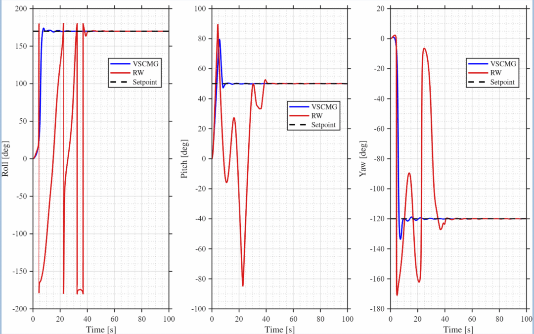
Precision: SANZAR ADCS Achieves 330% Faster Stabilization
🎯 Precision Under Pressure: SANZAR ADCS Stability In space, disturbances are constant, atmospheric drag, gravity gradients, magnetic fields. What matters is how fast your satellite recovers and how accurately it maintains pointing. Precision Performance: SANZAR ADCS...
Area Coverage: SANZAR ADCS Maximizes Ground Coverage by 40%
🌍 Coverage Matters: SANZAR ADCS Area Performance When it comes to Earth observation, every square kilometer counts. Our ADCS doesn't just point accurately, it maximizes the ground coverage your satellite can achieve. Area Coverage Advantage: SANZAR ADCS delivers up to...
Agility: Superior Attitude Setpoint Acquisition with SANZAR ADCS
In satellite operations, reaching your attitude setpoint quickly and consistently isn't just a nice feature, it's mission-critical. Our recent performance analysis reveals a significant advantage: Agility Comparison: SANZAR ADCS: 43 successful attitude acquisitions...
Last week, Sanzar Group conducted a verification flight of its logistics drone.
During this test, key technical aspects such as takeoff, landing, and following a pre-planned route were validated, demonstrating the system's good performance in real conditions. Each step brings us closer to redefining the future of logistics with high-impact...
NETON Takes Off: First Meeting to Develop Spanish Satellite Missions for High-Resolution Imagery
On March 6, 2025, the first meeting was held by the members of the "NETON: New Technologies in the Spanish New Space VHR+ Value Chain" project, financed by the CDTI and with the objective of developing 100% Spanish missions to obtain Very High Resolution (50cm)...
Sanzar participation in SmallSat Symposium 2025
From February 4 to 6, 2025, the SmallSat Symposium transformed Mountain View, California, into a hub of innovation, bringing together top industry leaders to explore cutting-edge advancements and tackle the most pressing challenges in the small satellite sector. One...
Sanzar Group presents at Space Tech Expo Europe 2024
From November 18 to 20, 2024, Sanzar Group participated in Space Tech Expo Europe in Bremen, Germany, one of the most important events in the aerospace sector. Our CTO, VĂctor GĂłmez, represented the company at this gathering, where leading aerospace technology firms...
Exploring New Frontiers at South Summit 2024
The Sanzar Group team had an unforgettable experience at South Summit 2024. This global event allowed us to connect with industry leaders, learn from inspiring speakers, and explore new opportunities for collaboration. We are optimistic and grateful for the new relationships and knowledge acquired, which will strengthen our path towards innovation and growth.
Visit to the IDR Microgravity Simulation Platform
Today, the Sanzar team had the opportunity to visit the Ignacio Da Riva Microgravity University Institute (IDR) at the Polytechnic University of Madrid. The visit focused on the IDR’s advanced air bearing, which simulates microgravity conditions and will be critical for the testing of our Attitude Control System (ACS). We are grateful for the collaboration and access to this cutting-edge technology, which is crucial for the development and research of our aerospace solutions.
Sanzar Group: Best Startup at the IX Investment Forum Madrid Emprende
Sanzar Group has been awarded as the Best Startup in the IX Madrid Emprende Investment Forum. Our innovative presentation in satellite attitude control technology led us to victory among more than 60 participants. This recognition has generated numerous potential contacts and has opened new opportunities for synergies and collaborations that will enhance our growth and innovation capacity.
Exploring Innovation in Massachusetts: A Week of Learning and Networking
Last week, our team explored the entrepreneurial ecosystem in Massachusetts, visiting Boston and Cambridge. Thanks to MIDE and FundaciĂłn madri+d, we had the opportunity to learn from leading entrepreneurs and explore innovation centers such as The Engine and Harvard Innovation Lab. This trip enriched our network of contacts and provided us with valuable insights to enter the Massachusetts market.
Appearance in Emprendedores magazine: A milestone in our participation in the AI cluster
We are pleased to announce that we have been featured in Emprendedores magazine! The article highlights our innovative Advanced Onboard Computing System (AOCS) in the Community of Madrid AI cluster, highlighting the significant weight reduction and cost savings associated with our technology.
Sanzar at the Presentation of the AI Cluster of the Community of Madrid
At the presentation of the Community of Madrid AI Cluster, Sanzar showcased its advanced Attitude and Orbit Control Systems (AOCS) to leaders such as Isabel Ayuso and companies such as Airbus and Microsoft. The event opened doors for future collaborations and reinforced our position at the forefront of space technology.
Presentation of the New AI Cluster of the Community of Madrid in the UC3M Science Park
On April 12, Sanzar Group will participate in the launch of the new Artificial Intelligence Cluster at the UC3M Science Park. This event will highlight innovations in AI, with exhibits of our AOCS systems and opportunities to connect with technology leaders and pioneers.
Milestone for Sanzar Group: Winning the Aeronautics Innovation Award 2023 🚀🏆
Sanzar Group has won the Aeronautics Innovation Award 2023 for its Aerospace Inertial Actuator (AIA). This achievement highlights the dedication and vision of the team, and propels us towards commercialization of our innovative technology. Thank you all for your support!
Sanzar Group wins the “AERONAUTICS INNOVATION AWARD 2023”.
Sanzar Group has won the Aeronautics Innovation Award 2023 for its patented control and guidance system, which improves satellite efficiency and reduces costs. With plans to commercialize the AIA by 2025, the company is leading the advancement in space technology.
Tests are already underway in our new Test Stand, designed by Sanzar.
We have started testing on our new test-stand, designed to optimize the accuracy of our torque calculations with minimum friction. The first tests show promising results and we are eager to share more improvements – watch the video demonstration!
Attending MetalMadrid, Composites and Robomatica Madrid!
Today at MetalMadrid, Sanzar focused on establishing strategic connections to improve the quality of our inertial actuator and explore new opportunities in agricultural technology. We are excited about future collaborations and the impact on our solutions!
Sanzar advances to the Second Phase of the EIC Accelerator
Sanzar has successfully advanced to the second phase of the EIC Accelerator after a successful initial submission. This advancement reflects our commitment to innovation and creating impact in the global marketplace. Stay tuned for our upcoming updates as we continue on this exciting journey!
We look forward to seeing you at the event “8th Leganés Tecnológico Business Meeting”.
Sanzar invites you to the 8th Leganés Tecnológico Business Meeting on October 18th. We will present pioneering advances such as the Aerospace Inertial Actuator (AIA) and our fertilization software. Join this event to discover the future of innovation!
Everything is ready to start with the next tests of our AIA!
Sanzar Group is getting ready for the next real tests of the Aerospace Inertial Actuator (AIA). This key step in our project will allow us to validate the performance of our technology in aerospace applications, bringing us closer to redefining the future of the industry.
Sanzar Group, 2nd place in the 7th “International Innovation and Entrepreneurship Competition”.
Sanzar Group has achieved 2nd place in the 7th International Innovation and Entrepreneurship Competition in Shenzhen, standing out for its optimized inertial system. This achievement reinforces our commitment to aerospace innovation and pushes us towards new horizons.
The Inertial Actuator in a real flight!
Our inertial actuator has been successfully tested in a real drone flight, and the results have exceeded our expectations. This breakthrough is key to our project, and we will continue to innovate – stay tuned for more updates!
Sanzar inertial control system in the ISDF!
This year we will participate in the International Security and Defense Forum (ISDF), where we will present our inertial control system, designed for aerospace and maritime applications. Discover how our advanced technology ensures accuracy and reliability in the most challenging environments.
NEW PROTOTYPE
Sanzar proudly announces the completion of its first inertial actuator prototype. This development will revolutionize aerial platforms by improving maneuverability. Our team continues to push the boundaries of technological innovation – stay tuned for future developments!
PROTOTYPE BUILT!
Our first prototype is built and working perfectly. We are ready for the first tests and excited to share our progress. We appreciate the efforts of our team and the support of our partners and investors – stay tuned for more updates!
INERTIAL ACTUATOR ON THE DRONE
We have completed the first prototype of our inertial actuator for drones and are ready for testing in real conditions. We appreciate the efforts of our team and the support of our partners and investors – stay tuned for more updates!
OUR INERTIAL CONTROL SYSTEM TECHNOLOGY … A NEW PROPOSAL!
Discover Sanzar’s revolutionary inertial control technology. We’ve released a new video showing how our patented inertial actuator transforms flight control, providing greater precision, safety and efficiency – don’t miss it!
